| 二、符号秩和检验(Wilcoxon法) | 《预防医学》 |
二、符号秩和检验(Wilcoxon法)符号等级检验(signedrank test)是上述方法的改进,是在观察“+”“-”号个数的基础上亦考虑差值的大小,通过对差值偏秩求和进行检验的,故效果较好。仍以例21,1介绍其方法步骤。 表21-1宇航员航行前后的心率(次/分)比较
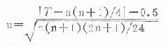
(一)建立假设 H0:宇航对心率无影响,即差值的总体中位数M=0 H1:宇航对心率有影响,即差值的总体中位数M≠0 α=0.05 (二)求各对数值的差数如表21-2第(4)栏 (三)编秩按差值的绝对值由小到大编秩,将秩次按差值的正负分两栏,如表21-2第(5)、(6)栏。注意:编秩时,遇有几个绝对值相等、符号相反的差值时,各取平均秩次;符号相同的相等差数,可不必取平均秩次;遇有差值为0的,则弃去不计,随之从相应的对子数n中减去。 (四)确定统计量t 分别求正负秩次之和,以绝对值较小者为统计量T,如表21-2第(5)、(6)两栏的合计。本例T=7。 (五)确定P值,作出推论 1.查表法用于对子数n≤25时,根据对子数n查附表21-1符号秩和检验临界值表。若现有统计量T值大于表中相应的界值T0.05,则P>0.05;若现有统计量小于或等于表中相应的T0.05,则P≤0.05。本例对子数n=12,查表得T0.01=7,本例T=7,故P=0.01,按α=0.05检验水准拒绝H0,可认为宇航对心率有影响,使心率增快。由此看出符号秩和检验比符号检验效率高。 2.正态近似法对子数n>25时,按式(21.2)计算统计u值。
因统计量为u值,按表19-3所示关系作出判断。
| |||||||||||||||||||||||||||||||||||||||||||||||||||||||||||||||||||||||||||||||||||||||||
返回目录 |