§3 平面上的直线
|
方 程 与 图 形 |
说 明 |
|||||||
|
[斜截式] |
|
k为斜率.若直线与x轴的交角为a
,则 b为纵截距 |
||||||
|
|
||||||||
|
[截距式] |
|
a,b分别为x轴,y轴上的截距. 该直线通过A(a, 0)和B(0, b)两点. 与x轴的交角
|
||||||
|
[点斜式] |
k为斜率 该直线通过点M(x0, y0),与x轴的交角 |
|||||||
|
方 程 |
与 图 形 |
说 明 |
||||||
|
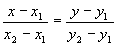
[两点式]
或
|
|
该直线通过M1(x1, y1)与M2(x2, y2)两点, 与x轴的交角 |
||||||
|
[一般式]
|
|
斜率 纵截距 [注]一般方程可根据需要化成上面四种形式 |
||||||
|
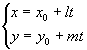
[参数式]
或 (-∞< t <∞) |
|
斜率 该直线通过点M(x0, y0)与x轴的交角为a |
||||||
|
[极坐标式] |
|
O为极点,Ox为极轴,p为极点到该直线的距离.a 为极轴与从极点引到直线的垂线之间的夹角(逆时针方向为正),j 为该直线上任一点M的极角,r 为M点的矢径 |
||||||
|
[法线式]
|
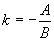
p为法线长(原点O到直线的垂线长),b 为法线与x轴的交角,p, b 称为直线的位置参数. [注]直线一般式可化为法线式 式中 |
|||||||
|
[矢量式]
|
该直线通过矢径r0的终点,且与已知矢量a平行 |
|||||||
|
方 程 |
与 图 形 |
说 明 |
||||||
|
[复数式] (a)
(b)
|
|
(a) 直线通过点z0,并与x轴的交角为a
(b) 直线通过z1,z2两点(t为实参数) |
||||||