§3 积分的应用

一、求面积

[平面图形面积计算公式]

S

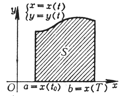
曲边梯形

 

 

 

 

  

 

扇形

 

S=

S=2

式中表示上的曲线方程,s表示上的曲线的长度,ds为弧的微分,为曲线重心

G到旋转轴的距离.

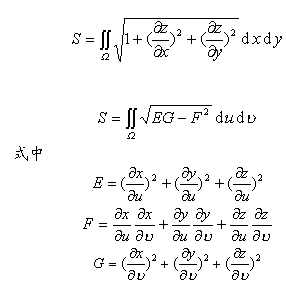
曲面

的区域上

 

柱面夹在曲面平面之间

 

 

 

式中C为柱面的准线,ds为曲线C(A,B)上的弧的微

.