四、牛顿法

1.一般牛顿法

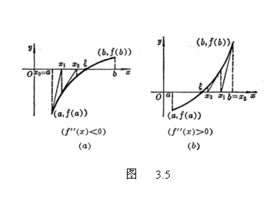
f(x)[a,b]上连续,也连续,且¹0,¹0f(a)f(b)<0(设f(a)<0,f(b)>0),过点(a,f(a))(或点(b,f(b))作曲线的切线:

(或

它和x轴的交点为x=a(或x=b

       用迭代公式

xn+1=xn

并取初始值

文本框:  
                     图   3.5
x0=

可计算出方程f(x)=0的根的近似值(图3.5.误差ïxxnï不超过

一般选取的初始值x0,要满足不等式