四、定积分的求法

[定积分的性质]

[分部积分法]

式中

[变量替换法] 设函数在区间[]上有连续的导数,同时函数在区间上连续,并且单调地变到,则

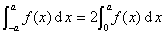
[利用函数奇偶性求积法]
为偶函数,则

为奇函数,则

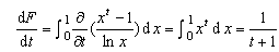
[利用积分对参数求导法] 设f(x,t)在有界区域上连续,并且存在连续偏导数,则当时,有

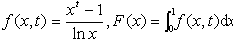
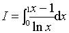
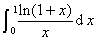
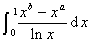
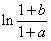
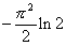
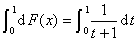
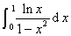
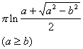
例 计算积分

解 设

则  .

所以︳.

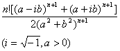
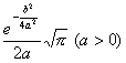
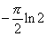
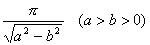
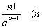
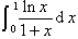
[定积分表]

 

 

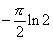
为正整数,a>0)

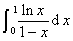
(n为正整数)

 

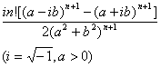
(欧拉常数,下同)